Функциональность молекулы – показывает сколько функциональных групп - гидроксильных, карбоксильных, алкоксильных, аминогрупп и т.д., имеется в структуре молекулы определенного соединения.
Для высокомолекулярных соединений параметр функциональности носит статистический характер, то есть вычисляется как среднее значение - отношение общего числа функциональных групп к числу всех молекул в системе. Это основное различие в понятии функциональность для высокомолекулярных и низкомолекулярных соединений: в молекуле низкомолекулярных соединений можно легко установить точное число и типы функциональных групп.
Для эластичных ППУ используются полиэфиры с функциональностью 2-3, для жестких ППУ – от 3 и более.
Рассмотрим молекулу ТДИ (2,4 - толуилендиизоцинат). В его структуре содержатся 2 функциональные изоцианатные группы - NCO. (Рис.1)

Рис. 1 Молекула 2,4 – толуилендиизоцианата
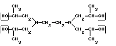
В структуре молекулы Лапромола 294 (Рис. 2), применямого в системах жестких ППУ содержатся 4 концевые функциональные гидроксильные группы - OH. (Рис. 2)

Рис. 2 Молекула Лапромола 294